论文作者:Chanchan Gao, Shuhui Li, Min Liu*, Fengying Zhang, V. Achal, Yue Tu, Shiqing Zhang, Chaolin Cai
文章简介:
2020年初,新型冠状病毒肺炎(COVID-19)的大流行导致中国许多城市封城。本研究通过分析空气质量和交通运输量以及气象因子之间的关系,来评估COVID-19流行期间人类活动的变化对空气质量的影响。以武汉、北京、上海、广州4个特大城市为研究区域,分析了2016-2020年1-5月大气污染物浓度的变化趋势。基于公共交通客运量(PVPT)和出租车客运量(PVT)以及降水、温度、相对湿度、风速和边界层高度等变量来探索和识别大气污染变化的驱动力。
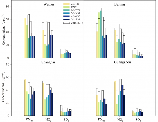
结果表明,4个城市封城前后细颗粒物(PM2.5)、NO2和SO2的变化率分别为-49.9%~78.2%(平均值:-9.4%±59.3%)、-55.4%~32.3%(平均值:-43.0%±9.7%)和-21.1%~11.9%(平均值:-10.9%±15.4%)。NO2对封城的响应最为敏感,而PM2.5对封城的反应较小且更为滞后。此外,在封城期间,北京周边地区不间断的工业排放和烟花爆竹产生的雾霾,在气团输送和不利气候条件的共同作用,可能是导致北京PM2.5浓度异常高的原因。另外,出租车客运量对NO2的影响最为显著,气象对PM2.5的影响大于NO2和SO2。因此,需要制定更多的国家级政策,限制烟花燃放和交通排放,并进一步研究二次空气污染物的形成和传播机制。

图1. 历史年份(2016-2019)和2020年PM2.5、NO2和SO2平均浓度的变化趋势。pre-LD:封城前;CNYF:春节;2016-2019:农历同时期4年数据的平均值。

图2. 2020年1-5月4个城市出租车客运量和气象对PM2.5、NO2和SO2的综合影响。
全文链接地址://www.sciencedirect.com/science/article/pii/S0048969721006136
该论文发表于SCI一区刊物Science of the Total Environment (影响因子:6.551)上。我澳门六合彩开奖记录资料 高婵婵为第一作者,刘敏为通讯作者。

